Danh sách 342 phương tiện bị phạt nguội qua camera AI ở Hà Nội
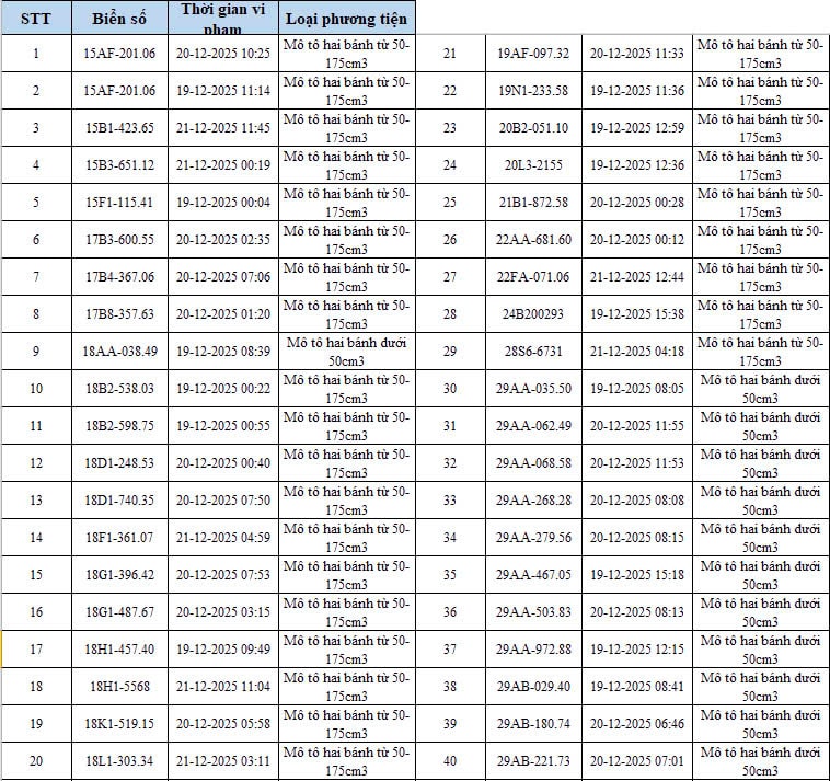
Ngày 6/1, Phòng Cảnh sát giao thông, Công an TP Hà Nội công bố danh sách 342 trường hợp phương tiện bị camera AI phát hiện vi phạm từ ngày 19-21/12/2025.
Phòng Cảnh sát giao thông Hà Nội cho biết đã gửi thông báo đến các chủ phương tiện vi phạm bao gồm cả ô tô và xe máy. Số này bao gồm 82 xe ô tô, 260 xe máy vi phạm được phát hiện qua hệ thống camera AI.
Danh sách ô tô vi phạm:


Danh sách xe máy vi phạm:









Danh sách xe máy vi phạm:







Nhận xét
Đăng nhận xét